Programa
Tuesday, June 21, 2022
8:11 PM
<<Cronograma_CNiNo.pdf>>
Clases
domingo, 9 de marzo de 2025
00:57
C1 - EDO 1er Orden
Wednesday, June 8, 2022
6:47 PM
<<CN01a EDO de 1er Orden - PVI Euler - 2021.pptx>>












































C1 - Runge Kutta Gi
Wednesday, June 8, 2022
6:48 PM
<<Runge Kutta Gi.ppt.pptx>>















C2 - Sistemas EDO de 1er Orden
Wednesday, June 22, 2022
3:19 PM
<<CN02a EDO de 1er Orden - Sistemas 8_06.pptx>>















C2 - Stock y Flujo
Wednesday, June 22, 2022
3:20 PM
<<CN02b Stock y Flujo clase 08_6.pptx>>















C3 - EDO Superior
Tuesday, June 21, 2022
8:16 PM
<<CN03
EDO de Orden Superior 15_6.ppt>>

































C4 - EDO No lineales
Tuesday, June 21, 2022
8:22 PM
<<CN04
Ecuaciones No Lineales Gi.ppt>>













































TPs
domingo, 9 de marzo de 2025
00:57
TP1
Wednesday, June 8, 2022
6:48 PM
<<CN TP 1 2021.pdf>>







TP2
Tuesday, June 21, 2022
8:23 PM
<<CN
TP 2 2021.pdf>>


TP3
Tuesday, June 21, 2022
8:22 PM
<<CN
TP 3 2021.pdf>>

Entrega II
Wednesday, June 22, 2022
4:35 PM
<<Entrega II.pdf>>


Entrega III
Wednesday, June 22, 2022
5:03 PM
<<Entrega
III.pdf>>
Exámen
domingo, 9 de marzo de 2025
00:58
Para el parcial
Wednesday, June 22, 2022
7:34 PM
Rk no entra
Una de Euler
Una de stock y flujo
Una No lineal cambio de variable
Una teorica de ultimo tema
Parcial Simulacro
Wednesday, June 22, 2022
7:40 PM



![]()
![Explicar cuáles son las condiciones que tiene que cumplir una función f para que el método de
Bolzano
encuentre, aproximadamente, un cero de f en un intervalo [a, b]](3.1.020_Calculo_Numerico_files/image194.jpg)
Para que se pueda utilizar el metodo de Bolzano en el intervalo [a,b], una funcion debe ser continua en (a,b) y debe tener al menos dos puntos de signo opuestos.

Se puede en A y D porque su derivada es menor a 1. El crecimiento es lento, entonces se estabiliza la aproximacion.
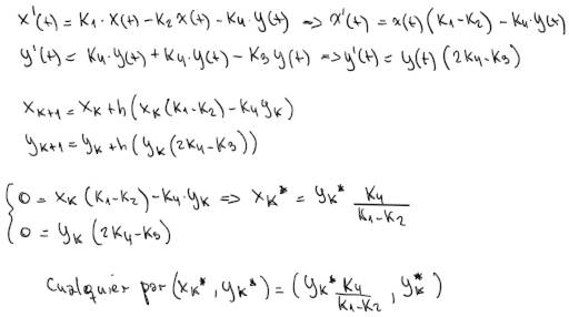
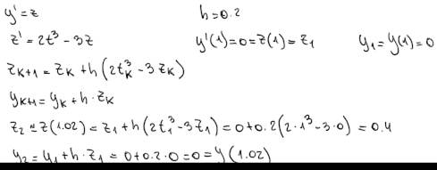
![2t3 _
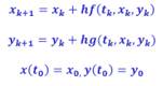
Dada la siguiente ecuación diferencial de segundo orden definida en 2]se pide:
a) Plantearla como un sistema de EDO de orden uno.
b) Discretizar mediante el método de Euler
c)Calcular un valor aproximado de considerando h (Non-enonymous question@) *](3.1.020_Calculo_Numerico_files/image196.jpg)
![]()
![]()
![]()
![]()
![]()
![]()
![]()
![]()
![]()
![]()
![]()
![]()
![]()
![]()
![]()
![]()
![]()
![]()
![]()
![]()
![]()
![]()
![]()
![]()
![]()
![]()
![]()
![]()
![]()
![]()
![]()
![]()
![]()
![]()
![]()
![]()
![]()
![]()
![]()
![]()
![]()
![]()
![]()
![]()
![]()
![]()
![]()
![]()
![]()
![]()
![]()
![]()
![]()
![]()
![]()
![]()
![]()

![]()
![]()
![]()
![]()
![]()
![]()
![]()
![]()
![]()
![]()
![]()
![]()
![]()
![]()
![]()
![]()
![]()
![]()
![]()
![]()
![]()
![]()
![]()
![]()
![]()
![]()
![]()
![]()
![]()
![]()
![]()
![]()
![]()
![]()
![]()
![]()
![]()
![]()
![]()
![]()


Resumen Parcial
Tuesday, June 28, 2022
4:58 PM

![]()
![]()
![]()


![Yn-l
y'
en el intervalo [to,tF]
• • Yn—l )
Yn-l ) Yo
Yl (to) Yo
y(to)
= Yo
en to](3.1.020_Calculo_Numerico_files/image303.jpg)
![PROBLEMAS A RESOLVER
Nos referiremos a tres tipos de problemas:
Se trata de 'Hallar x tales que _
2.
[puntos de intersección]
[localización de raíces]
[puntos fijos]
_ 0 g(x)"](3.1.020_Calculo_Numerico_files/image304.jpg)
Cualquiera de los 3 problemas se puede convertir en uno de los otros
![Teorema de Bolzano
Sea f una función continua en un intervalo [a, b]
tal que f(a)f(b)< O. Entonces existe c e (a, b) tal
quef(c )](3.1.020_Calculo_Numerico_files/image305.jpg)
![Teorema de Newton-Ra hson
Supongamos que Sp [a, b] tal que f (p) 0
y que además f y f'(p)
Entonces existe una distancia > O tal que la sucesión
f(Pk-l )
g(Pk-1) converge
generada por Pk = Pk-l ¯
f' (Pk-l)
ap cualquiera sea la semilla po e
Observación: La función
se llama
función de iteración de ewton- ap son.](3.1.020_Calculo_Numerico_files/image306.jpg)
