Programa
Thursday, May 4, 2023
9:16 PM
<<Cronograma.pdf>>


Clases
Monday, August 7, 2023
8:53 PM
C1 - Electroestatica
Thursday, November 2, 2023
1:59 PM
<<C&O_Clase_1_16032023.pdf>>






C2 - Energia Potencial Electroestatica
Thursday, November 2, 2023
2:00 PM
<<C&O_Clase_2_23032023.pdf>>



C3 - Circuito RC
Thursday, November 2, 2023
2:00 PM
<<C&O_Clase_3_30032023.pdf>>






C4 - Electrodinamica
Thursday, November 2, 2023
2:00 PM
<<C&O_Clase_4_13042023.pdf>>










C6 - Magnetoestatica, Magnetodinamica, EM
Thursday, November 2, 2023
2:00 PM
<<C&O_Clase_6_27042023.pdf>>












C7- Biot Savart
Thursday, November 2, 2023
2:00 PM
<<C&O_Clase_7_04052023.pdf>>






C10 - Revision Parcial
Thursday, November 2, 2023
2:01 PM
<<C&O_Clase_10_01062023.pdf>>








C11 - Ondas electromagneticas
Thursday, November 2, 2023
2:01 PM
<<C&O_Clase_11_08062023.pdf>>









C12 - Polarizacion
Thursday, November 2, 2023
2:01 PM
<<C&O_Clase_12_15062023.pdf>>





C13 - Snell, Fresnel
Thursday, November 2, 2023
2:01 PM
<<C&O_Clase_13_22062023.pdf>>












Laboratorios
Monday, August 7, 2023
8:59 PM
L1
Monday, August 7, 2023
8:59 PM
<<Bergmann-Facchina-InformeLaboratorio-CamposyOndas.pdf>>







L2
Monday, August 7, 2023
8:59 PM
<<2do labo campos y ondas.pdf>>





1er Parcial
Monday, August 7, 2023
9:05 PM
Preguntas tentativas
Monday, August 7, 2023
9:26 PM
<<PreguntasTentativas.pdf>>



Trabajo Practico integrador
Monday, August 7, 2023
9:26 PM
<<Bergmann-Facchina-TP-CamposyOndas-Campo-Electrico.pdf>>













Parcial 2020
Monday, August 7, 2023
9:27 PM
<<Parcial_Scoflich_1108371.pdf>>




Parcial 2022
Monday, August 7, 2023
9:27 PM
<<1° Parcial Campos y Ondas Electromagnéticas.pdf>>







Resumenes
Monday, August 7, 2023
9:01 PM
Ecuaciones de Maxwell
Thursday, November 2, 2023
2:08 PM
<<CAMPOS_Y_ONDAS.ppt>>

<<ECUACIONES_DE_MAXWELL_ONDAS_PLANAS.ppt>>
































Zonas de Fresnel
Monday, August 7, 2023
9:23 PM
<<Zonas_de_Fresnel.pdf>>








Principio de Huygens
Monday, August 7, 2023
9:23 PM
<<PrincipioHuygens.pdf>>


Propagación electromagnetica
Monday, August 7, 2023
9:23 PM
<<Propagación electromagnetica.pdf>>



Polarizacion Lineal
Monday, August 7, 2023
9:23 PM
<<Polarizacion Lineal.pdf>>


Polarizacion circular
Monday, August 7, 2023
9:24 PM
<<Polarizacion circular.pdf>>


Difraccion
Monday, August 7, 2023
9:24 PM
<<Difraccion.pdf>>


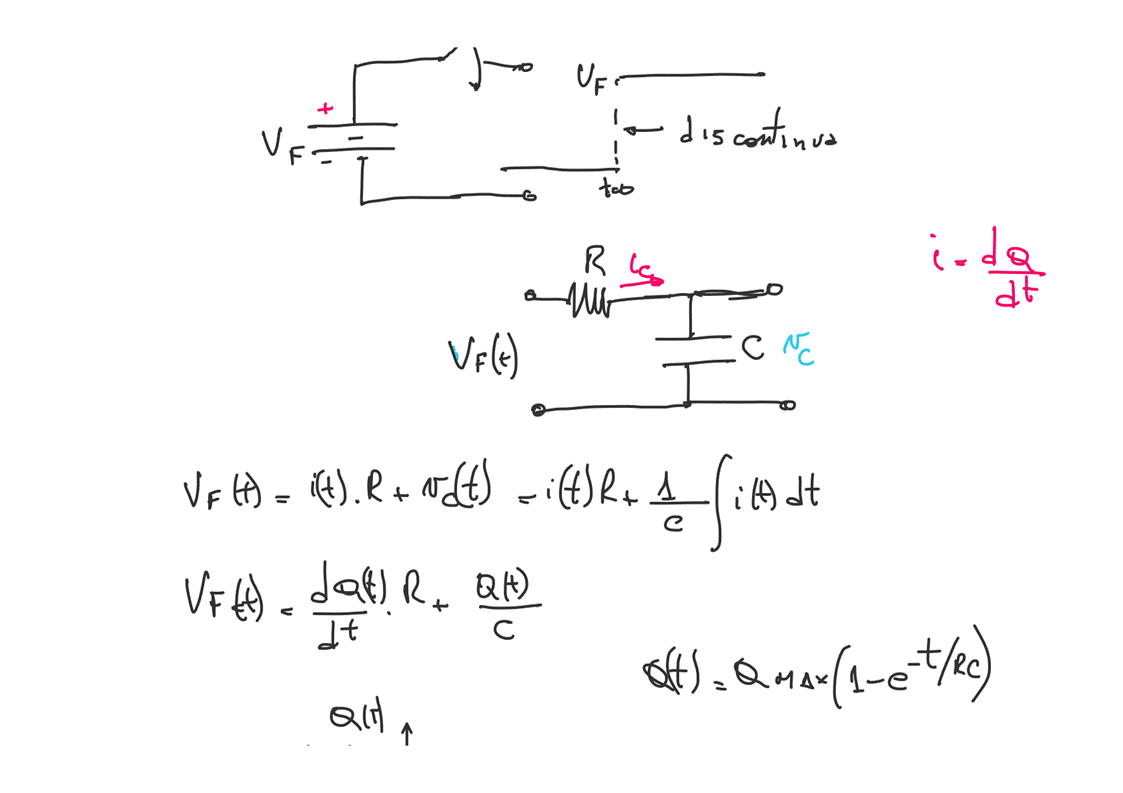
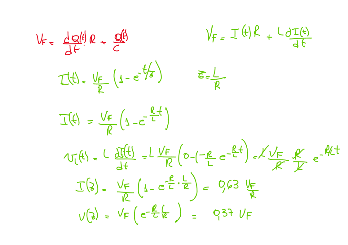
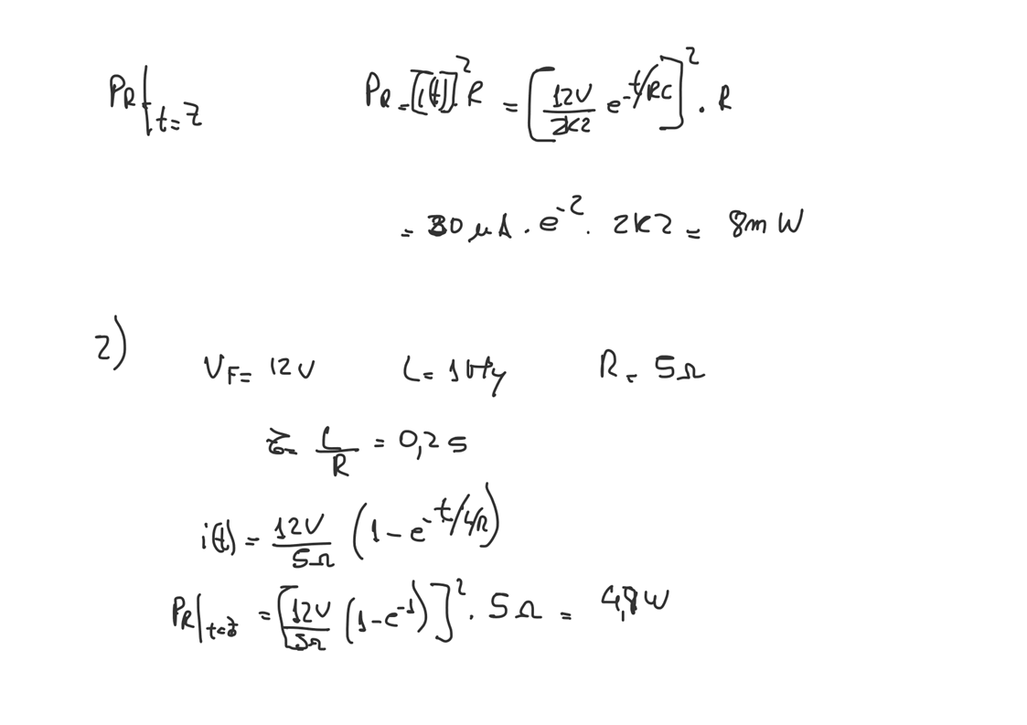
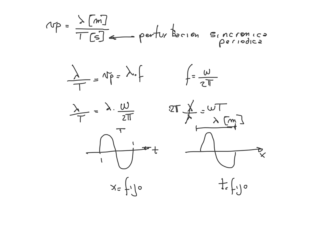
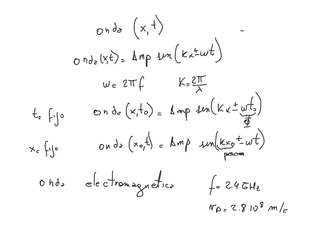
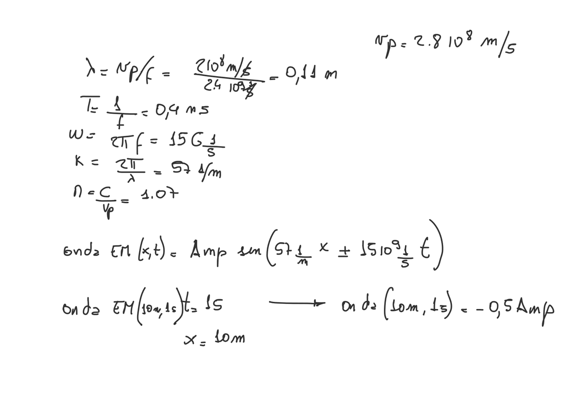
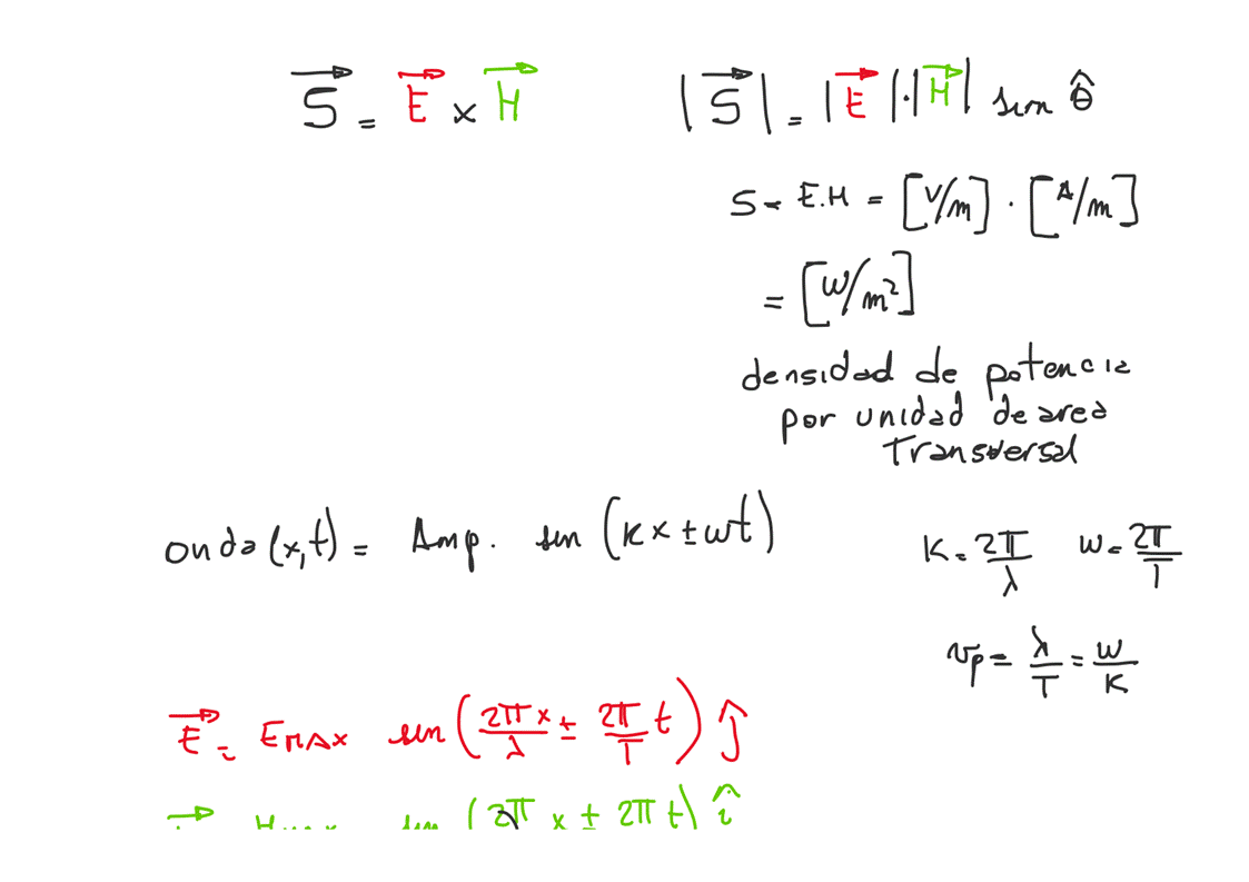
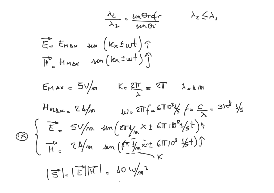
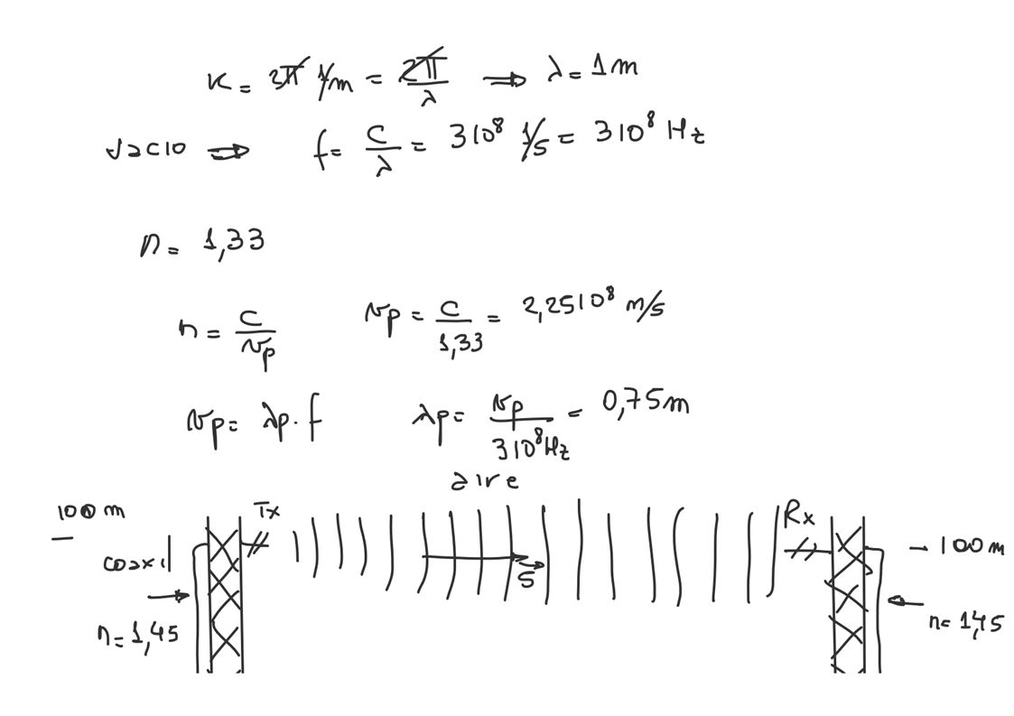
Fórmulas
Thursday, November 2, 2023
2:39 PM
![]()
![]()
![]()
![]()
![]()
![]()
![]()
![]()
![]()
![]()
![]()
![]()
![]()
![]()
![]()
![]()
![]()
![]()
![]()
![]()
![]()
![]()
![]()
![]()
![]()
![]()
![]()
![]()
![]()
![]()
![]()
![]()
![]()
![]()
![]()
![]()
![]()
![]()

![]()
![]()
![]()
![]()
![]()
![]()
![]()
![]()
![]()
![]()
![]()
![]()

![]()
![]()
![]()
![]()
![]()
![]()
![]()
![]()
![]()
![]()
![]()
![]()
![]()
![]()
![]()
![]()
![]()
![]()
![]()
![]()
![]()
![]()
![]()
![]()
![]()
![]()
![]()

![]()
![]()
![]()
![]()
![]()
![]()
![]()
![]()
![]()
![]()
![]()
![]()
![]()
![]()
![]()
![]()
![]()
![]()
![]()
![]()
![]()
![]()
![]()
![]()
![]()
![]()
![]()
![]()
![]()
![]()
![]()
![]()
![]()
![]()
![]()
![]()
![]()
![]()
![]()
![]()
![]()
![]()
![]()
![]()
![]()
![]()
![]()
![]()
![]()
![]()
![]()
![]()
![]()
![]()
![]()
![]()
![]()
![]()
![]()
![]()
![]()
![]()

![]()
![]()
![]()
![]()
![]()
![]()
![]()
![]()
![]()
![]()
![]()
![]()
![]()
![]()
![]()
![]()
![]()
![]()
![]()
![]()
![]()
![]()
![]()
![]()
![]()
![]()
![]()
![]()
![]()
![]()
![]()
![]()
![]()
![]()
![]()
![]()
![]()
![]()
![]()
![]()
![]()
![]()
![]()
![]()
![]()
![]()
![]()
![]()
![]()
![]()
![]()
![]()
![]()
![]()
![]()
![]()
![]()
![]()
![]()
![]()
![]()
![]()
![]()
![]()
![]()
![]()
![]()
![]()
![]()
![]()
![]()
![]()
![]()
![]()
![]()
![]()
![]()
![]()
![]()
![]()
![]()
![]()
![]()
![]()
![]()
![]()
![]()
![]()
![]()
![]()
![]()
![]()
![]()
![]()
![]()
![]()
![]()
![]()
![]()
![]()
![]()
![]()
![]()
![]()
![]()
![]()
![]()
![]()
![]()
![]()
![]()
![]()
![]()
![]()
![]()
![]()
![]()
![]()
![]()
![]()
![]()
![]()
![]()
![]()
![]()
![]()
![]()
![]()
![]()
![]()
![]()
![]()
![]()
![]()
![]()
![]()
![]()
![]()
![]()
![]()
![]()
![]()
![]()
![]()
![]()
![]()
![]()
![]()
![]()
![]()
![]()
![]()
![]()
![]()
![]()
![]()
![]()
![]()
![]()
![]()
![]()

![]()
![]()
![]()
![]()
![]()
![]()
![]()
![]()
![]()
![]()
![]()
![]()
![]()
![]()
![]()
![]()
![]()
![]()
![]()
![]()
![]()
![]()
![]()
![]()
![]()

Finales
Thursday, November 2, 2023
2:10 PM
Final Regular
Monday, August 7, 2023
9:01 PM
<<Final Regular.pdf>>






Regular 2020 resuelto
Thursday, November 2, 2023
2:10 PM
<<1regular_Scoflich_1108371.pdf>>





Regular 2021 resuelto
Thursday, November 2, 2023
2:09 PM
<<1er
Final Regular 2021 - mi resolucion.docx>>


Regular 2021 resuelto
Thursday, November 2, 2023
2:11 PM
<<1regular_Jarazo_1101119-1.pdf>>



