Cronograma
martes, 27 de febrero de 2024
18:47
<<PLANIFICACION SEMANAL.pdf>>

<<3.3.076_maquinas
electricas_16-05-2023.pdf>>




Notas de clase
martes, 27 de febrero de 2024
19:14
Clasificación de máquinas
martes, 27 de febrero de 2024
18:55


Fundamentos
martes, 27 de febrero de 2024
19:06
<<01_FUNDAMENTOS DE ELECTRICIDAD Y MAGNETISMO.pdf>>











































































































Transformadores
martes, 27 de febrero de 2024
19:13
<<02_TRANSFORMADORES.pdf>>
















Motor Asincrónico Trifásico
martes, 27 de febrero de 2024
19:07
<<Motor Asincrónico Trifásico.pdf>>

































Campo Rotativo
martes, 27 de febrero de 2024
19:13
<<01_CAMPO ROTATIVO.pdf>>




























































Generador eléctrico
martes, 27 de febrero de 2024
19:06
<<Generador eléctrico.pdf>>












Multimedidor
martes, 27 de febrero de 2024
19:17
<<01_MULTIMEDIDOR ABB.pdf>>
















Arranque estrella triangulo
martes, 27 de febrero de 2024
19:17
<<02_ARRANQUE ESTRELLA TRIÁNGULO.pdf>>































Motores
martes, 27 de febrero de 2024
19:17
<<03_MOTORES.pdf>>




















Motor monofásico
martes, 27 de febrero de 2024
19:17
<<04_MOTOR MONOFÁSICO.pdf>>

























Esquema Unifilar
jueves, 29 de febrero de 2024
20:20
<<01_Esquema Unifilar TGSACA.pdf>>




Guía diseño transformadores
jueves, 29 de febrero de 2024
20:21
<<02_GUIA DE DISEÑO ET.pdf>>



































Accionamiento electromecánico
jueves, 29 de febrero de 2024
20:21
<<21506-19 ACCIONAMIENTOS ELECTROMECÁNICOS Motor de Inducción monofásico.pdf>>


















Motor DC - Serie/Shunt
viernes, 1 de marzo de 2024
07:50
<<MOTOR DC SERIE PARALELO.pdf>>








Seleccion de electromotres
viernes, 1 de marzo de 2024
07:50
<<selección de electromotores.pdf>>




Diodo Zener
viernes, 1 de marzo de 2024
07:52
<<Diodo Zener.pdf>>







Generador Sincrónico Trifásico
viernes, 1 de marzo de 2024
07:53
<<Generador Sincrónico Trifásico.pdf>>





















Motores Sincronicos & Rectificadores, Semiconductores
viernes, 1 de marzo de 2024
07:54
<<Motores Sincronicos & Rectificadores, Semiconductores.pdf>>






















Apuntes
martes, 27 de febrero de 2024
18:47
Repaso
Monday, February 26, 2024
10:25 AM


Trifásica
Monday, February 26, 2024
1:34 PM

Transformador
Monday, February 26, 2024
2:53 PM




Motor Asincrónico Trifásico
Tuesday, February 27, 2024
1:55 PM


Modelo parcial
martes, 27 de febrero de 2024
18:48
<<231026 PARCIAL.PDF>>

Para mejorar la eficiencia de este proceso, se utiliza un nucleo de algun material ferromagnetico como puede ser el hierro, para concentrar el campo magnetico y direccionarlo desde el primario al secundario.
![]()

![]()
![]()
![]()
![]()
![]()
![]()
La relacion de conversion N del transformador, surge como cociente de la cantidad de espiras en cada devanado. En funcion de esta relacion, podremos calcular las tension inducida asi como la corriente. Ademas, podremos ver la impedancia del secundario desde el primario.
![]()
![]()
![]()
![]()
![]()
![]()
![]()
![]()
![]()
![]()
![]()
![]()
![]()
![]()
![]()
![]()
![]()
![]()
![]()
![]()
![]()
![]()
![]()
![]()
![]()
![]()
![]()

![]()
![]()
![]()
![]()
![]()
![]()
![]()
![]()
![]()
![]()
![]()
![]()
![]()
![]()
![]()
![]()
![]()
![]()
![]()
![]()
![]()
![]()
![]()
![]()
![]()
![]()
![]()
![]()
![]()
![]()
![]()
![]()
![]()
![]()
![]()
![]()
![]()
![]()
![]()
![]()
![]()
![]()
![]()
![]()
![]()
![]()
![]()
![]()
![]()
![]()
![]()
![]()
![]()
![]()
![]()
![]()
![]()
![]()
![]()
![]()
![]()
![]()
![]()
![]()
![]()
![]()
![]()
![]()
![]()
![]()
![]()
![]()
![]()
![]()
![]()
![]()
![]()
![]()
![]()
![]()
![]()
![]()
![]()
![]()
![]()
![]()
![]()
![]()
![]()
![]()
![]()
![]()
![]()
![]()
La diferencia entre el modelo real y el ideal, es que en el real se consideran las resistencias inherentes de los devanados. La R1 corresponde al principal y la R2 al secundario. Ademas, el modelo real contempla la existencia de la impedancia inductiva Xd que modela las perdidas que existen del campo fuera del medio que lo guia.
![]()
![]()
![]()
![]()
![]()
![]()
![]()
![]()
![]()
![]()
![]()
![]()
![]()
![]()
![]()
![]()
![]()
![]()
![]()
![]()
![]()
![]()
![]()
![]()
![]()
![]()
![]()
![]()
![]()
![]()
![]()
![]()
![]()
![]()
![]()
![]()
![]()
![]()
![]()
![]()
![]()
![]()
![]()
![]()
![]()
![]()
![]()
![]()
![]()
![]()
![]()
![]()
![]()
![]()
![]()
![]()
![]()
![]()
![]()
![]()
![]()
![]()
![]()
![]()
![]()
![]()
![]()
![]()
![]()
![]()
![]()
![]()
![]()
![]()
![]()
![]()
![]()
![]()
![]()
![]()
![]()
![]()
![]()
![]()
![]()
![]()
![]()
![]()
![]()
![]()
![]()
![]()
![]()
![]()
![]()
![]()
![]()
![]()
![]()
![]()
![]()
![]()
![]()
![]()
![]()
![]()
![]()
![]()
![]()
![]()
![]()
![]()
![]()
![]()
![]()
![]()
![]()
![]()
![]()
![]()
![]()
![]()
![]()
![]()
![]()
![]()
![]()
![]()
Estas 4 configuraciones podran ser utilizadas en diferentes ocaciones en funcion de la necesidad.
Por ejemplo: al disponer de transformadores de 110V/12V, podriamos necesitar convertir 220V a 24V y utilizariamos la configuracion serie-serie, mientras que si necesitamos aumentar la corriente usariamos el serie-paralelo.
![]()
![]()
![]()
![]()
![]()
![]()
![]()
![]()
![]()
![]()
![]()
![]()
![]()
![]()
![]()
![]()
![]()
![]()
![]()
![]()
![]()
![]()
![]()
![]()
![]()
![]()
![]()
![]()
![]()
![]()
![]()
![]()
![]()
![]()
![]()
![]()
![]()
![]()
![]()
![]()
![]()
![]()
![]()
![]()
![]()
![]()
![]()
![]()
![]()
![]()
![]()
![]()
![]()
![]()
![]()
![]()
![]()
![]()
![]()
![]()
![]()
![]()
![]()
![]()
![]()
![]()
![]()
![]()
![]()
![]()
![]()
![]()
![]()
![]()
![]()
![]()
![]()
![]()
![]()
![]()
![]()
![]()
![]()
![]()
![]()
![]()
![]()
![]()
![]()
![]()
![]()
![]()
![]()
![]()
![]()
![]()
![]()
![]()
![]()
![]()
![]()
![]()
![]()
![]()
![]()
![]()
![]()
![]()
![]()
![]()
![]()
![]()
![]()
![]()
![]()
![]()
![]()
![]()
![]()
![]()
![]()
![]()
![]()
![]()
![]()
![]()
![]()
![]()
![]()
![]()
![]()
![]()
![]()
![]()
![]()
![]()
![]()
![]()
![]()
![]()
![]()
![]()
![]()
![]()
![]()
![]()
![]()
![]()
![]()
![]()
![]()
![]()
![]()
![]()
![]()
![]()
![]()
![]()
![]()
![]()
![]()
![]()
![]()
![]()
![]()
![]()
![]()
![]()
![]()
![]()
![]()
![]()
![]()
![]()
![]()
![]()
![]()
![]()
![]()
![]()


Usos hogareños:
Usos industriales:
Otros:
![]()
![]()
![]()
![]()
![]()
![]()
![]()
![]()
![]()
![]()
![]()
![]()
![]()
![]()
![]()
![]()

![]()
![]()
![]()
![]()
![]()
![]()
![]()
![]()
![]()
![]()
![]()
![]()
![]()
![]()
![]()
![]()
![]()
![]()
![]()
![]()
![]()
![]()
![]()
![]()
![]()
![]()
![]()
![]()
![]()
![]()
![]()
![]()
![]()
![]()
![]()
![]()
![]()
![]()
![]()
![]()
![]()
![]()
![]()
![]()
![]()
![]()
![]()
![]()
![]()
![]()
![]()
![]()
![]()
![]()
![]()
![]()
![]()
![]()
![]()
![]()
![]()
![]()
![]()
![]()
![]()
![]()
![]()
![]()
![]()
![]()
![]()
![]()
![]()
![]()
![]()
![]()
![]()
![]()
![]()
![]()
![]()
![]()
![]()
![]()
![]()
![]()
![]()


![]()
![]()
![]()
![]()
![]()
![]()
![]()
![]()
![]()
![]()
![]()
![]()
![]()
![]()
![]()
![]()
![]()
![]()
![]()
![]()
![]()
![]()
![]()
![]()
![]()
![]()
![]()
![]()
![]()
![]()
![]()
![]()
![]()
![]()
![]()
![]()
![]()
![]()
![]()
![]()
![]()
![]()
![]()
![]()
![]()
![]()
![]()
![]()
![]()
![]()
![]()
![]()

![]()
![]()
![]()
![]()
![]()

![]()
![]()
![]()
![]()
![]()
![]()
![]()
![]()
![]()
![]()
![]()
![]()
![]()
![]()
![]()
![]()
![]()
![]()
![]()
![]()
![]()
![]()
![]()
![]()
![]()
![]()
![]()
![]()
![]()
![]()
![]()
![]()
![]()
![]()
![]()
![]()
![]()
![]()
![]()
![]()
![]()
![]()
![]()
![]()
![]()
![]()
![]()
![]()
![]()
![]()
![]()
![]()
![]()
![]()
![]()
![]()
![]()
![]()
![]()
![]()
![]()
![]()
![]()
![]()
![]()
![]()
![]()
![]()
![]()
![]()
![]()
![]()
![]()
![]()
![]()
![]()
![]()
![]()
![]()
![]()
![]()
![]()
![]()
![]()
![]()
![]()
![]()
![]()
![]()
![]()
![]()
![]()
![]()
![]()
![]()
![]()
![]()
![]()
![]()
![]()
![]()
![]()
![]()
![]()
![]()
![]()
![]()
![]()
![]()
![]()
![]()
![]()
![]()

![]()
![]()
![]()
![]()
![]()
![]()
![]()
![]()

![]()
![]()
![]()
![]()

![]()
![]()
![]()
![]()
![]()

![]()
![]()
![]()
![]()
![]()
![]()
![]()
![]()
![]()
![]()
![]()
![]()

![]()

![]()
![]()
![]()
![]()
![]()
![]()
![]()
![]()
![]()
![]()
![]()
![]()
![]()
![]()
![]()
![]()
![]()
![]()
![]()
![]()
![]()
![]()
![]()
![]()
![]()
![]()
![]()
![]()
![]()
![]()
![]()
![]()
![]()
![]()
![]()
![]()
![]()
![]()
![]()
![]()
![]()
![]()
![]()
![]()
![]()
![]()
![]()
![]()
![]()
![]()
![]()
![]()
![]()
![]()
![]()
![]()
![]()


![]()
![]()
![]()
![]()
![]()
![]()
![]()
![]()
![]()
![]()
![]()
![]()
![]()
![]()
![]()
![]()
![]()
![]()
![]()

![]()

![]()
![]()
![]()
![]()
![]()
![]()

![]()
![]()
![]()
![]()
![]()
![]()
![]()
![]()
![]()
![]()
![]()
![]()
![]()
![]()
![]()
![]()
![]()
![]()
![]()
![]()
![]()
![]()
![]()
![]()
![]()
![]()
![]()
![]()
![]()
![]()
![]()
![]()
![]()
![]()
![]()
![]()
![]()
![]()
![]()
![]()
![]()
![]()
![]()
![]()
![]()
![]()
![]()
![]()
![]()
![]()
![]()
![]()
![]()
![]()
![]()
![]()
![]()
![]()
![]()
![]()
![]()
![]()
![]()
![]()
![]()
![]()
![]()
![]()
![]()
![]()
![]()
![]()
El motor sincrono tiene el eje magnetico del rotor alineado con el del estator, mientras que el asincrono no. Si bien el rotor intentara alinearse, siempre estara por detras, a esta diferencia de velocidades se llama resbalamiento y es la diferencia entre la velocidad de sincronismo y la del rotor.

Llave termomagnetica:

Guardamotor:

ICM (Interruptor de caja moldeada):

Tanto la llave termomagnetica como el guardamotor e ICM tienen proteccion contra sobrecorriente y cortocircuito.
Los dos primeros tienen una parte termica para la sobrecorriente y una parte magnetica para cortocircuito.
El guarda motor se diferencia de la termomagnetica de la siguientes maneras:
El ICM se diferencia del guardamotor en las siguientes maneras:

1. Arranque directo (o a plena tensión):
- En esta configuración, el motor se conecta directamente a la fuente de alimentación mediante un interruptor. Cuando se activa el interruptor, el motor recibe la tensión nominal de la fuente de alimentación, lo que le permite arrancar de manera rápida y sencilla.
- Esta configuración es simple y económica, pero puede generar picos de corriente elevados durante el arranque, lo que puede afectar la estabilidad de la red eléctrica y provocar un desgaste adicional en el motor.
2. Arranque estrella-triángulo:
- En esta configuración, el motor se conecta inicialmente en configuración estrella (conectando los extremos de las bobinas del motor en triángulo) durante el arranque. Una vez que el motor alcanza una velocidad suficiente, se cambia automáticamente a configuración triángulo (conexión directa de las bobinas), lo que permite que el motor funcione a plena carga.
- Esta configuración reduce significativamente los picos de corriente durante el arranque, lo que minimiza el impacto en la red eléctrica y en el motor. Sin embargo, requiere un equipo de control más complejo y un tiempo de arranque más largo.
3. Arrancador suave (o arranque progresivo):
- Este método utiliza dispositivos electrónicos de control de potencia para variar gradualmente la tensión aplicada al motor durante el arranque. Esto permite un arranque suave y controlado, lo que reduce drásticamente los picos de corriente y el estrés mecánico en el motor.
- El arrancador suave es ideal para motores de gran potencia y aplicaciones donde se requiere un arranque suave para evitar golpes y tensiones mecánicas.
La elección de la configuración de arranque depende de varios factores, como la potencia del motor, el tipo de carga, la disponibilidad de energía, el costo y las necesidades de control. Cada configuración tiene sus ventajas y desventajas, por lo que es importante seleccionar la más adecuada para cada aplicación específica.
![]()
![]()
![]()
![]()
![]()
![]()
![]()
![]()
![]()
![]()
![]()
![]()
![]()
![]()
![]()
![]()
![]()
![]()
![]()
![]()
![]()
![]()
![]()
![]()
![]()
![]()
![]()
![]()
![]()
![]()
![]()
![]()
![]()
![]()
![]()
![]()
![]()
![]()
![]()
![]()
![]()
![]()
![]()
![]()
![]()
![]()
![]()
![]()
![]()
![]()
![]()
![]()
![]()
![]()
![]()
![]()
![]()
![]()
![]()
![]()
![]()
![]()
![]()
![]()
![]()
![]()
![]()
![]()
![]()
![]()
![]()
![]()
![]()
![]()
![]()
![]()
![]()
![]()
![]()
![]()

Ejercicios Primer Parcial
martes, 27 de febrero de 2024
18:55
<<ejercicio estrella.pdf>>



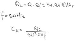
1: A un motor asíncrono trifásico de potencia nominal de 22 kW, 380/220 V, 50 Hz, factor de potencia de 0,7, se le conecta una batería de condensadores en triángulo para elevar el factor de potencia a 0.9, cuando funciona a plena carga conectado a 380 V. Calcular.

2: Con una batería de condensadores conectada en triángulo se necesita compensar el factor de potencia a 0.9 de un grupo de motores asíncronos trifásicos, de tensión nominal 400 V, 50 Hz, formado por:
Considerando que los motores funcionan a plena carga, calcular:
Se tienen dos trafos idénticos de 220 VAC/12 VAC y corriente de entrada o primaria de 2 A cada uno.
Conectarlos de manera tal de que se obtenga un único trafo de entradas de 220 VAC, salida de 12 V.
Calcular la corriente total de entrada.
Calcular la corriente total de salida en la carga.
Una chapa o placa caraterística vino sin datos de fábrica acerca de la tensión y corrientes de trabajo como la siguiente:

Considerando que la potencia total del motor viene dada por: P = U I Cos φ η
Y además se sabe que la tensión de alimentación el U = 380 V y su redimiento porcentual η = 95%, hallar el valor de la corriente faltante en la placa.

Estudio para oral
miércoles, 28 de febrero de 2024
18:25
Medir potenciales sin interactuar directamente
No debe modificar la magnitud a medir: fase y módulo
La relación entre voltajes no debe cambiar en función de la carga
Mayor aislación de los devanados por las gran diferencias de potencial entre bobinas.
Baja potencia nominal, dado que su objetivo es simplemente el muestreo

Debido a que el principal propósito del transformador es tomar muestras del voltaje, debe ser muy exacto para no distorsionar demasiado el valor de voltaje verdadero.
Se pueden comprar transformadores de potencial de varios niveles de exactitud, dependiendo de qué tan exactas deban ser las lecturas para determinada aplicación.

El aislamiento de impulso básico (BIL, por sus siglas en inglés) de 650 kV expresa la capacidad del transformador de soportar descargas eléctricas atmosféricas (relámpagos) y sobrecorrientes de conmutación debido a la conexión y desconexión de éste al sistema eléctrico.


El costo de la aislación de un transformador magnético crece más que proporcionalmente con la tensión, lo que lleva a pensar en alguna solución que resulte de interés económico cuando se plantea el problema de medir tensiones en sistemas cuya tensión nominal exceda de los 132 kV, entendiéndose por tensión nominal a la compuesta del sistema, pensado como trifásico. Una alternativa para resolver el problema la constituye el transformador de tensión capacitivo, T.V.C., que consta de un divisor de tensión capacitivo que alimenta a un transformador magnético, al que a su vez van conectados los instrumentos. El esquema general es el que se aprecia en la figura 7.7, en la que se ha respetado la notación que hasta ahora hemos usado:


V=−∫E⋅dl
Ruptura esmalte:
kV/mm
![]()

Resumen maquinas
sábado, 2 de marzo de 2024
19:25
<<Resumen maquinas.pdf>>

sábado, 2 de marzo de 2024
19:25
TPF - Trafos de Instrumento
jueves, 29 de febrero de 2024
18:58
<<Transformadores de instrumento.pdf>>


























Final
jueves, 29 de febrero de 2024
20:07
Modelo de final
jueves, 29 de febrero de 2024
20:07
<<Modelo de final.pdf>>












Final 2023
jueves, 29 de febrero de 2024
13:20
<<Final Maquinas Electricas.pdf>>





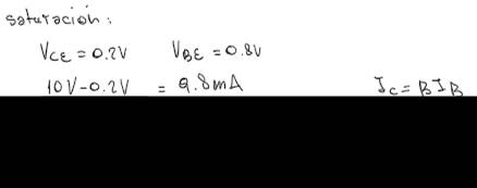
Ej BJT
![]()
![]()
![]()
![]()
![]()
![]()
![]()
Friday, March 1, 2024
10:24 PM
![]()
![]()
![]()
![]()
![]()
![]()
![]()
![]()
![]()
![]()
![]()
![]()
![]()
![]()
![]()
![]()
![]()
![]()
![]()
![]()
![]()
![]()
![]()
![]()
![]()
![]()
![]()
![]()
![]()
![]()
![]()
![]()
![]()
![]()
![]()
![]()
![]()
![]()
![]()
![]()
![]()
![]()
![]()
![]()
![]()
![]()
![]()
![]()
![]()
![]()
![]()
![]()
![]()
![]()
![]()
![]()
![]()
![]()
![]()
![]()
![]()
![]()
![]()
![]()
![]()
![]()
![]()
![]()
![]()
![]()
![]()
![]()
![]()
![]()
![]()
![]()
![]()
![]()
![]()
![]()
![]()
![]()
![]()
![]()
![]()
![]()
![]()
![]()
![]()
![]()
![]()
![]()
![]()
![]()
![]()
![]()
![]()
![]()
![]()
![]()
![]()
![]()
![]()
![]()
![]()
![]()
![]()
![]()
![]()
![]()
![]()
![]()
![]()
![]()
![]()
![]()
![]()
![]()
![]()
![]()
![]()
![]()
![]()
![]()
![]()
![]()
![]()
![]()
![]()
![]()
![]()
![]()
![]()
![]()
![]()
![]()
![]()
![]()
![]()
![]()
![]()
![]()
![]()
![]()
![]()
![]()
![]()
![]()
![]()
![]()
![]()
![]()
![]()
![]()
![]()
![]()
![]()
![]()
![]()
![]()
![]()
![]()
![]()
![]()
![]()
![]()
![]()
![]()
![]()
![]()
![]()
![]()
![]()
![]()
![]()
![]()
![]()
![]()
![]()
![]()
![]()
![]()
![]()
![]()
![]()
![]()
![]()
![]()
![]()
![]()
![]()

![]()

![]()
![]()
![]()
![]()
![]()

![]()
![]()
![]()

![]()



![]()
![]()

![]()
![]()
![]()
![]()
![]()
![]()
![]()
![]()
![]()
![]()
![]()
![]()
![]()
![]()
![]()
![]()
![]()
![]()
![]()
![]()
![]()
![]()
![]()
![]()
![]()
![]()
![]()
![]()
![]()
![]()
