Cronograma
sábado, 22 de junio de 2024
13:33
<<CRONOGRAMA INST. Y CONTROL 1°C 2024.pdf>>


Clases
sábado, 22 de junio de 2024
13:35
C1 - Introduccion
sábado, 22 de junio de 2024
13:35
<<Clase 1 - Insr y Control UADe.pdf>>





































C2 - Estabilidad
sábado, 22 de junio de 2024
13:35
<<Clase 2 -Inst y Control-1°c 24.pdf>>

















C3 - Diagramas de Bloques
sábado, 22 de junio de 2024
13:36
<<Clase 3 -Inst y Control-Soluciones.pdf>>


















C4 - Modelo 1 Parcial
sábado, 22 de junio de 2024
13:36
<<Clase 4-Inst y Contol-MOD 1° PARCIAL.pdf>>









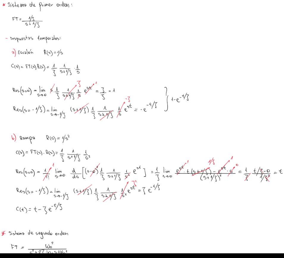
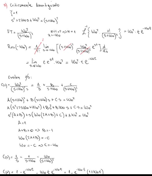
C6 - Sistemas 1er y 2do Orden
sábado, 22 de junio de 2024
13:37
<<Clase 6 Inst y control- TP1-Rta temp sist 1 y 2 orden.pdf>>

C6 - Respuestas temporales
sábado, 22 de junio de 2024
13:37
<<Clase 6 -Inst y Control-1°c 24 -Rta temp para Sist 1 orden.pdf>>















C7 - Modelado sistemas fisicos
sábado, 22 de junio de 2024
13:37
<<Clase 7-Inst y Control.pdf>>












C8 - Modelado sistemas electromecanicos
sábado, 22 de junio de 2024
13:37
<<Clase 8- Inst y Control - Motor de CC.pdf>>












C9 - Motor de CC 1
sábado, 22 de junio de 2024
13:37
<<Clase 9- Inst y Control - Motor - GUIA Y SOLUCIONES.pdf>>









C9- Motor de CC 2
sábado, 22 de junio de 2024
13:37
<<Clase 9- Inst y Control - Motor de CC.pdf>>













C10 - Error estático
sábado, 22 de junio de 2024
13:38
<<Clase 10 - Inst y control- Error estático.pdf>>






C10 - Modelado sistemas hidraulicos y electromagneticos
sábado, 22 de junio de 2024
13:38
<<Clase 10-Inst y Control - Modelado 2a parte.pdf>>






C11 - Controladores PID
sábado, 22 de junio de 2024
13:38
<<Clase 11 - Inst y control- Controladores PID.pdf>>





















C12- Lugar de las raices
sábado, 22 de junio de 2024
13:38
<<Clase
12- El lugar de las raices.pdf>>


![]()


![]()
![]()
![]()

![]()
![]()




![]()
![]()
![]()
![]()
![]()
![]()
![]()
![]()
![]()
![]()
![]()
![]()
![]()
![]()
![]()
![]()
![]()
![]()







![]()
![]()
![]()
![]()





Examen
sábado, 22 de junio de 2024
13:45
Modelo 1er Parcial
sábado, 22 de junio de 2024
13:45
<<Clase 4-Inst y Contol-MOD 1° PARCIAL.pdf>>









Modelo 1er Parcial
Monday, June 24, 2024
6:59 PM
<<MODELO 1PARCIAL- INSTR Y CTROL.pdf>>



Repaso 1er Parcial
Monday, June 24, 2024
7:00 PM
<<TEMAS DE REPASO PARA EL 1ER PARCIAL INSTR Y CONTROL.pdf>>







Modelo 2do Parcial Soluciones
Monday, June 24, 2024
6:59 PM
<<MODELO 2PARCIAL- INSTR Y CTROL SOLUCIONES.pdf>>















Modelo 2do Parcial
Monday, June 24, 2024
7:00 PM
<<MODELO 2PARCIAL- INSTR Y CTROL.pdf>>




TP3 - Modelo Final
Monday, June 24, 2024
7:06 PM
<<TP3_Facchina.pdf>>



El ejercicio 1 está bien pero en la expresión final de la FT en los paréntesis debe estar R2 y R3 cuando aparece el coeficiente C3, como todas las R son iguales lo considero bien. La explicación debería decir, se aplica el Teorema de Superposición para calcular la FT. Porque el enunciado no aclara si pueden despreciarse o no.
Eje2 . Perfecto
Ejercicio3. El amortiguamiento está mal calculado porque cuando despejaron agregaron un TT de mas. La expresión que escribieron con epsilon en el margen izquierdo superior de la segunda hoja del la solución estaba bien. A partir de ahí hubo un arrastre de error. El valor de Kp=22 según el esquema, debería darle los valores a R1 y R2.
En general el desarrollo está muy bien.




Guias
Monday, June 24, 2024
7:02 PM
Guia 1 - FT
Monday, June 24, 2024
7:03 PM
<<GUIA
N1-SOLUCIONES.pdf>>
![]()
![]()
![]()
![]()
![]()
![]()
![]()
![]()
![]()
![]()
![]()
![]()
![]()
![]()
![]()
![]()
![]()
![]()
![]()
![]()
![]()
![]()
![]()
![]()
![]()
![]()
![]()
![]()
![]()
![]()
![]()
![]()
![]()
![]()
![]()
![]()
![]()
![]()
![]()
![]()
![]()
![]()
![]()
![]()
![]()
![]()
![]()
![]()
![]()
![]()
![]()
![]()
![]()
![]()
![]()
![]()
![]()
![]()
![]()
![]()
![]()
![]()
![]()
![]()
![]()
![]()
![]()
![]()
![]()
![]()
![]()
![]()
![]()
![]()
![]()
![]()
![]()
![]()
![]()
![]()
![]()
![]()
![]()
![]()
![]()
![]()
![]()
![]()
![]()
![]()
![]()
![]()
![]()
![]()
![]()
![]()
![]()
![]()
![]()
![]()
![]()
![]()
![]()
![]()
![]()
![]()
![]()
![]()
![]()
![]()
![]()
![]()
![]()
![]()
![]()
![]()
![]()
![]()
![]()
![]()
![]()
![]()
![]()
![]()
![]()
![]()
![]()
![]()
![]()
![]()
![]()
![]()
![]()
![]()
![]()
![]()
![]()
![]()
![]()
![]()
![]()
![]()
![]()
![]()
![]()
![]()
![]()
![]()
![]()
![]()
![]()
![]()
![]()
![]()
![]()
![]()
![]()
![]()
![]()
![]()
![]()
![]()
![]()
![]()
![]()
![]()
![]()
![]()
![]()
![]()
![]()
![]()
![]()
![]()
![]()
![]()
![]()
![]()
![]()
![]()
![]()
![]()
![]()
![]()
![]()
![]()
![]()
![]()
![]()
![]()
![]()
![]()
![]()
![]()
![]()
![]()
![]()
![]()
![]()
![]()
![]()
![]()
![]()
![]()
![]()
![]()
![]()
![]()
![]()
![]()
![]()
![]()
![]()
![]()
![]()
![]()
![]()
![]()
![]()
![]()
![]()
![]()
![]()
![]()
![]()
![]()
![]()
![]()
![]()
![]()
![]()
![]()
![]()
![]()
![]()
![]()
![]()
![]()
![]()
![]()
![]()
![]()
![]()
![]()
![]()
![]()
![]()
![]()
![]()
![]()
![]()
![]()
![]()
![]()
![]()
![]()
![]()
![]()
![]()
![]()
![]()
![]()
![]()
![]()
![]()
![]()
![]()
![]()
![]()
![]()
![]()
![]()
![]()
![]()
![]()
![]()
![]()
![]()
![]()
![]()
![]()
![]()
![]()
![]()
![]()
![]()
![]()
![]()
![]()
![]()
![]()
![]()
![]()
![]()
![]()
![]()
![]()
![]()
![]()
![]()
![]()
![]()
![]()
![]()
![]()
![]()
![]()
![]()
![]()
![]()
![]()
![]()
![]()
![]()
![]()
![]()
![]()
![]()
![]()
![]()
![]()
![]()
![]()
![]()
![]()
![]()
![]()
![]()
![]()
![]()
![]()
![]()
![]()
![]()
![]()
![]()
![]()
![]()
![]()
![]()
![]()
![]()
![]()
![]()
![]()
![]()
![]()
![]()
![]()
![]()
![]()
![]()
![]()
![]()
![]()
![]()
![]()
![]()
![]()
![]()
![]()
![]()
![]()
![]()
![]()
![]()
![]()
![]()
![]()
![]()
![]()
![]()
![]()
![]()
![]()
![]()
![]()
![]()
![]()
![]()
![]()
![]()
![]()
![]()
![]()
![]()
![]()
![]()
![]()
![]()
![]()
![]()
![]()
![]()
![]()
![]()
![]()
![]()
![]()
![]()
![]()
![]()
![]()
![]()
![]()
![]()
![]()
![]()
![]()
![]()
![]()
![]()
![]()
![]()
![]()
![]()
![]()
![]()
![]()
![]()
![]()
![]()
![]()
![]()
![]()
![]()
![]()
![]()
![]()
![]()
![]()
![]()
![]()
![]()
![]()
![]()
![]()
![]()
![]()
![]()
![]()
![]()
![]()
![]()
![]()
![]()
![]()
![]()
![]()
![]()
![]()
![]()
![]()
![]()
![]()
![]()
![]()
![]()
![]()
![]()
![]()
![]()
![]()
![]()
![]()
![]()
![]()
![]()

![]()
![]()
![]()
![]()
![]()
![]()
![]()
![]()
![]()
![]()
![]()
![]()
![]()
![]()
![]()
![]()
![]()
![]()
![]()
![]()
![]()
![]()
![]()
![]()
![]()
![]()
![]()
![]()
![]()
![]()
![]()
![]()
![]()
![]()
![]()
![]()
![]()
![]()
![]()
![]()
![]()
![]()
![]()
![]()
![]()
![]()
![]()
![]()
![]()
![]()
![]()
![]()
![]()
![]()
![]()
![]()
![]()
![]()
![]()
![]()
![]()
![]()
![]()
![]()
![]()
![]()
![]()
![]()
![]()
![]()
![]()
![]()
![]()
![]()
![]()
![]()
![]()
![]()
![]()
![]()
![]()
![]()
![]()
![]()
![]()
![]()
![]()
![]()
![]()
![]()
![]()
![]()
![]()
![]()
![]()
![]()
![]()
![]()
![]()
![]()
![]()
![]()
![]()
![]()
![]()
![]()
![]()
![]()
![]()
![]()
![]()
![]()
![]()
![]()
![]()
![]()
![]()
![]()
![]()
![]()
![]()
![]()
![]()
![]()
![]()
![]()
![]()
![]()
![]()
![]()
![]()
![]()
![]()
![]()
![]()
![]()
![]()
![]()
![]()
![]()
![]()
![]()
![]()
![]()
![]()
![]()
![]()
![]()
![]()
![]()
![]()
![]()
![]()
![]()
![]()
![]()
![]()
![]()
![]()
![]()
![]()
![]()
![]()
![]()
![]()
![]()
![]()
![]()
![]()
![]()
![]()
![]()
![]()
![]()
![]()
![]()
![]()
![]()
![]()
![]()
![]()
![]()
![]()
![]()
![]()
![]()
![]()
![]()
![]()
![]()
![]()
![]()
![]()
![]()
![]()
![]()
![]()
![]()
![]()
![]()
![]()
![]()
![]()
![]()
![]()
![]()
![]()
![]()
![]()
![]()
![]()
![]()
![]()
![]()
![]()
![]()
![]()
![]()
![]()
![]()
![]()
![]()
![]()
![]()
![]()
![]()
![]()
![]()
![]()
![]()
![]()
![]()
![]()







Guia 2 - Sistema fisico
Monday, June 24, 2024
7:03 PM
<<Guia 2- Modelo Inerc Ej 1y2-Solucion.pdf>>





Guia 3 - Diagrama de bloques
Monday, June 24, 2024
7:03 PM
<<Clase 3 -Inst y Control-Soluciones.pdf>>


















Guia 6 - Rta temp sist 1 y 2 orden
Monday, June 24, 2024
7:03 PM
<<Clase
6 Inst y control- TP1-Rta temp sist 1 y 2 orden.pdf>>


Ejercicios Root Locus
Monday, June 24, 2024
8:00 PM



Resumen
Monday, June 24, 2024
7:04 PM
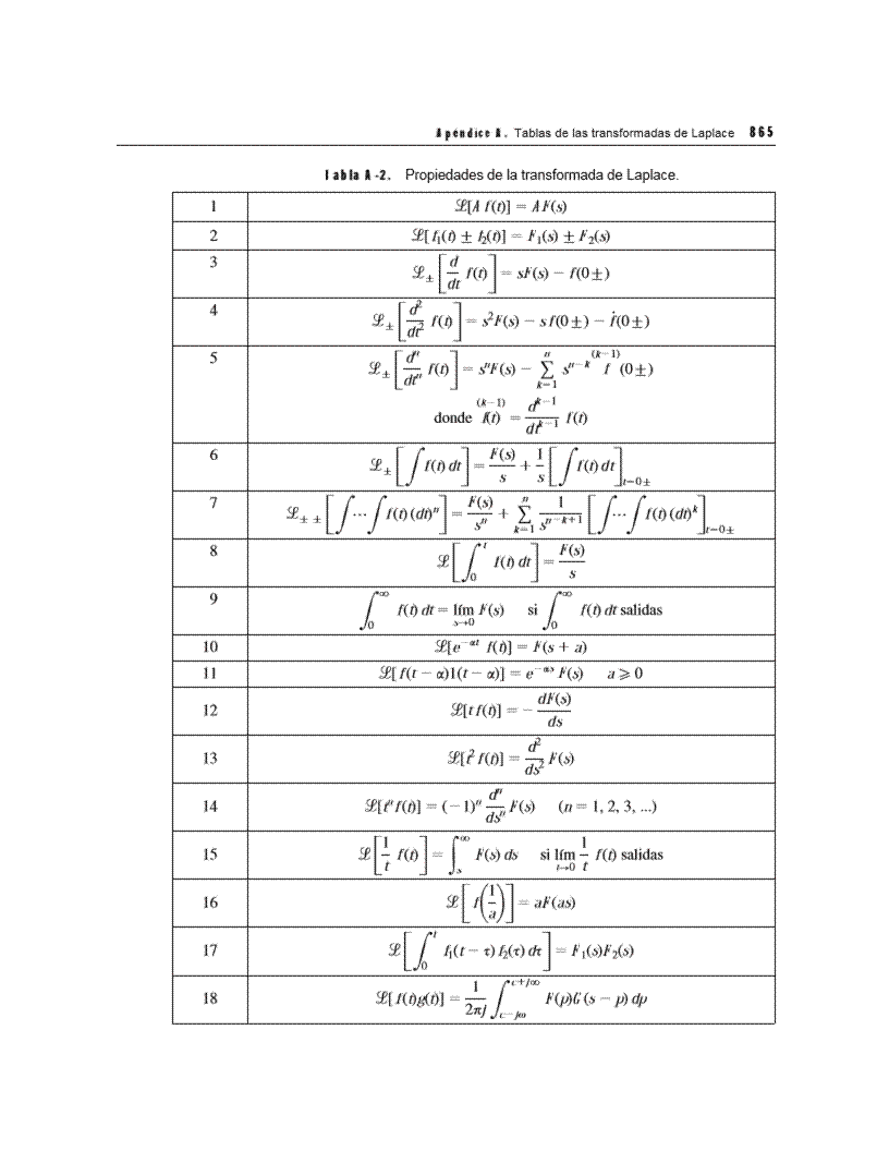
Tabla de transformada de Laplace+bloques
Monday, June 24, 2024
7:03 PM
<<Tabla de transformada de Laplace+bloques.pdf>>




Fracciones simples
Monday, June 24, 2024
7:00 PM
<<DESCOMP EN FRACCIONES SIMPLES - TL.pdf>>







Resumen Final
Monday, June 24, 2024
7:04 PM

![]()
![]()
![]()
![]()
![]()
![]()
![]()
![]()
![]()
![]()



Resumen Ciappa
Wednesday, April 24, 2024
7:29 PM
En un metal, cuando se calienta los atomos se comienzan a mover, se chocan mas, se liberan electrones que se desplazan hacia el lado mas frio (gradiente de temperatura), generando una diferencia de potencial.
Necesitamos 2 materiales diferentes, sino la diferencia de potencial es cero.
Agregamos una RTD para tener temperatura y voltaje de referencia.


Se utilizan materiales de los que se conoce la curva resistencia/temperatura (platino, niquel)
Se pueden utilizar mas de 2 cables para compensar la impedancia del cable












![]()
![]()
![]()
![]()
![]()
![]()
![]()
![]()
![]()
![]()
![]()
![]()
![]()
![]()
![]()
![]()
![]()
![]()
![]()
![]()
![]()
![]()
![]()














![]()
![]()
![]()
![]()
![]()
![]()
![]()
![]()
![]()
![]()
![]()
![]()
![]()
![]()
![]()
![]()
![]()
![]()
![]()
![]()
![]()
![]()
![]()
![]()
![]()
![]()
![]()
![]()
![]()
![]()
![]()
![]()
![]()
![]()
![]()
![]()
![]()
![]()
![]()
![]()
![]()
![]()
![]()
![]()
![]()
![]()
![]()
![]()
![]()
![]()
![]()
![]()
![]()
![]()
![]()
![]()
![]()
![]()
![]()
![]()
![]()
![]()
![]()
![]()
![]()
![]()
![]()
![]()
![]()
![]()
![]()
![]()
![]()
![]()
![]()
![]()
![]()
![]()
![]()
![]()
![]()
![]()
![]()
![]()
![]()
![]()
![]()
![]()
![]()
![]()
![]()
![]()
![]()
![]()
![]()
![]()
![]()
![]()
![]()
![]()
![]()
![]()
![]()
![]()
![]()
![]()
![]()
![]()
![]()
![]()
![]()
![]()
![]()

![]()
![]()
![]()
![]()
![]()
![]()
![]()

![]()
![]()
![]()
![]()
![]()
![]()
![]()
![]()
![]()
![]()
![]()
![]()
![]()
![]()
![]()
![]()
![]()
![]()
![]()
![]()
![]()
![]()
![]()
![]()
![]()
![]()
![]()
![]()
![]()
![]()
![]()
![]()
![]()
![]()
![]()
![]()
![]()
![]()
![]()
![]()
![]()
![]()
![]()
![]()
![]()
![]()
![]()
![]()
![]()
![]()
![]()
![]()
![]()
![]()
![]()
![]()
![]()
![]()
![]()
![]()
![]()
![]()
![]()
![]()
![]()
![]()
![]()
![]()
![]()
![]()
![]()
![]()
![]()
![]()
![]()
![]()
![]()
![]()
![]()
![]()
![]()
![]()
![]()
![]()
![]()
![]()
![]()
![]()
![]()
![]()
![]()
![]()
![]()
![]()
![]()
![]()
![]()
![]()
![]()
![]()
![]()
![]()
![]()
![]()
![]()
![]()
![]()
![]()
![]()
![]()
![]()
![]()
![]()
![]()
![]()
![]()
![]()
![]()
![]()
![]()
![]()
![]()
![]()
![]()
![]()
![]()
![]()
![]()
![]()
![]()
![]()
![]()