Cronograma
Wednesday, September 27, 2023
8:26 PM
<<12441_3.3.129_DCAI_Esposito_2023.pdf>>


Clases
Wednesday, September 27, 2023
8:28 PM
C1 - Op Amp
Wednesday, September 27, 2023
8:31 PM
<<DCAI_Clase_1_10082023.pdf>>












C2 - Op Amp II
Wednesday, September 27, 2023
8:31 PM
<<DCAI_Clase_2_17082023.pdf>>








C4 - Rect y Reg Lineal
Wednesday, September 27, 2023
8:32 PM
<<DCAI_Clase_4_31082023.pdf>>












C5 - Reg Lineal II
Wednesday, September 27, 2023
8:32 PM
<<DCAI_Clase_5_07092023.pdf>>









C8 - Conversor Buck
Sunday, December 3, 2023
3:23 AM
<<DCAI_Clase_8_05102023.pdf>>












C9 - Conversor Boost
Sunday, December 3, 2023
3:23 AM
<<DCAI_Clase_9_07102023.pdf>>














C11 - PLL
Sunday, December 3, 2023
3:23 AM
<<DCAI_Clase_11_19102023.pdf>>











C12 - Aplicaciones PLL
Sunday, December 3, 2023
3:23 AM
<<DCAI_Clase_12_26102023.pdf>>













C14 - Amp. Potencia
Sunday, December 3, 2023
3:23 AM
<<DCAI_Clase_14_09112023.pdf>>








C15 - Amp. Potencia II
Sunday, December 3, 2023
3:23 AM
<<DCAI_Clase_15_16112023.pdf>>








Laboratorios
Wednesday, September 27, 2023
8:27 PM
LAB1 - Aplicaciones con Op Amp
Wednesday, September 27, 2023
8:34 PM
<<Labo_1_Bergmann_Vicente_Vidmar_DCAI.pdf>>

























LAB2 - Rect y Reg lineales
Wednesday, September 27, 2023
8:36 PM
<<Labo_2_Bergmann_Vicente_Vidmar_DCAI.pdf>>












LAB3 - Reg Conmutado
Wednesday, September 27, 2023
8:36 PM
<<Labo_3_Bergmann_Vicente_Vidmar_DCAI.pdf>>








LAB4 - Osciladores con PLL
Wednesday, September 27, 2023
8:37 PM
<<Labo_4_Bergmann_Vicente_Vidmar_DCAI.pdf>>











LAB5 - Amplificador AB
Wednesday, September 27, 2023
8:37 PM
<<Labo_5_Bergmann_Vicente_Vidmar_DCAI.pdf>>










Apuntes
Sunday, December 3, 2023
3:27 AM
Operacionales
Sunday, December 3, 2023
3:32 AM
<<Amplificadores_operacionales_caracterist.pdf>>























<<Comparador
con histéresis - Ecuaciones.pdf>>
<<El
Amplificador Operacional.pdf>>



<<OPAM-AN-20.pdf>>













<<OPAM-AN-31.pdf>>































<<OPAM-AN0038.pdf>>





















<<OPAMP-AN106.pdf>>















<<Schmitt
AN046.pdf>>



PLL
Sunday, December 3, 2023
3:27 AM
<<cd4046.pdf>>
























Rectificadores
Sunday, December 3, 2023
3:27 AM
<<rectificacion y filtrado.pdf>>






























<<Rectificadores.pdf>>


















Reguladores lineales
Sunday, December 3, 2023
3:28 AM

<<fuentes lineales.pdf>>






























AB Amp
Sunday, December 3, 2023
3:28 AM

<<Amplificador Clase AB.pdf>>


































































<<AMPLIFICADORES_CLASE_AB.docx>>







<<Electret.pdf>>
<<ETAPA
DE SALIDA EN CLASE B analisis disipacion.pdf>>

















Conversores de energia
Sunday, December 3, 2023
3:30 AM
<<Convertidor CC-CC.pdf>>













<<Teoria de
fuentes conmutadas.pdf>>









































Examenes
Sunday, December 3, 2023
3:26 AM
Parcial 2022
Wednesday, September 27, 2023
11:05 PM








Previo
lunes, 15 de abril de 2024
21:03

![]()
![]()
![]()
![]()
![]()
![]()
![]()
![]()


![]()
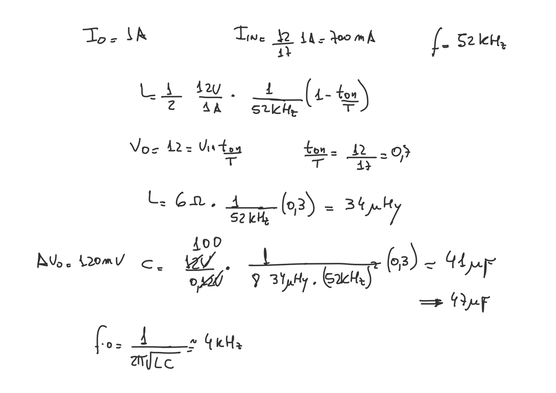
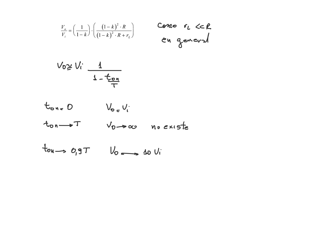
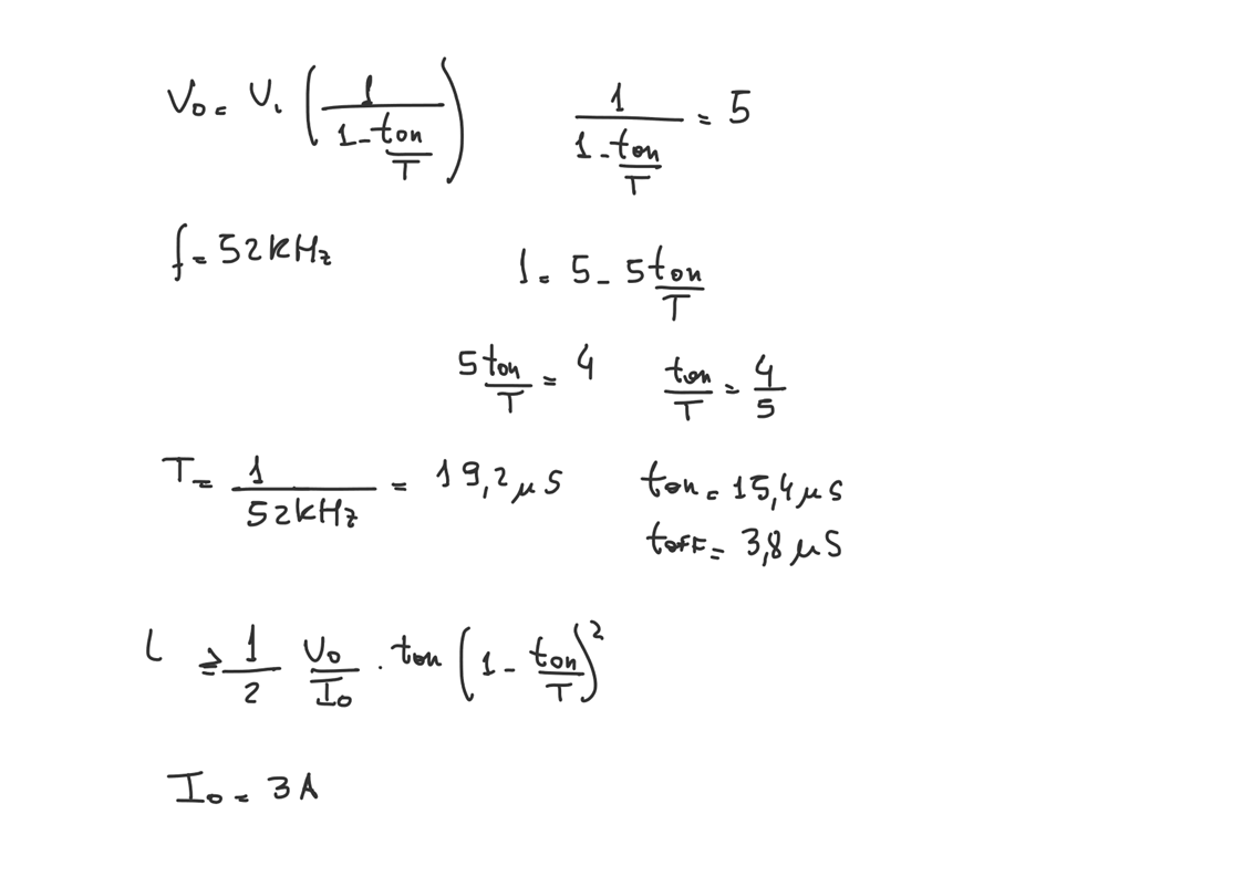
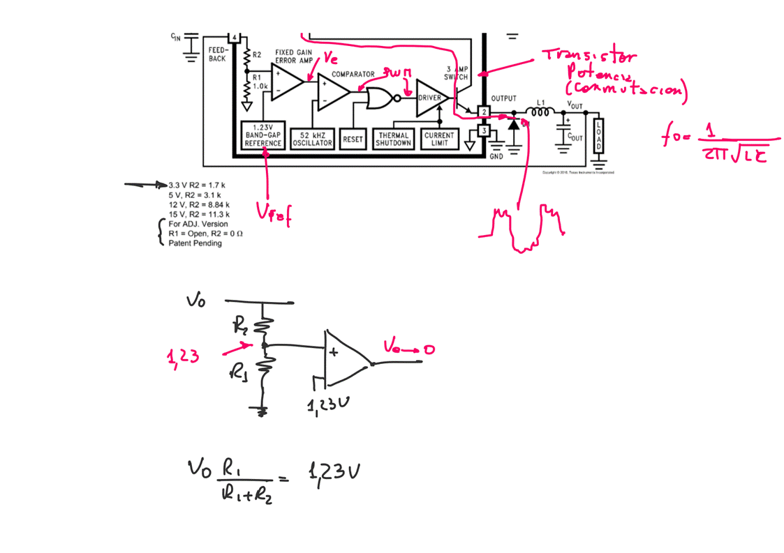
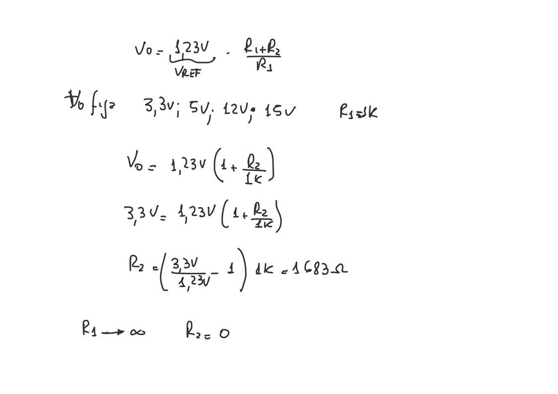
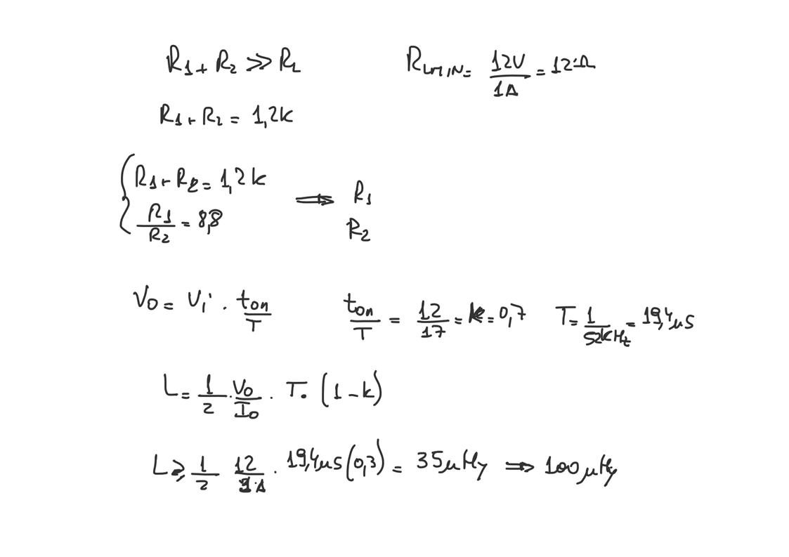
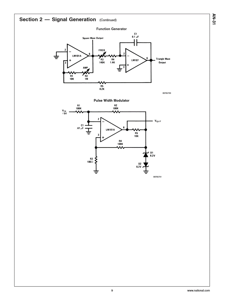
El ajuste del ciclo de trabajo del modulador de ancho de pulso (PWM) controla la cantidad de tiempo durante el cual el interruptor está encendido en cada ciclo de conmutación. Un ciclo de trabajo más alto significa que el interruptor está encendido durante más tiempo, lo que resulta en una mayor salida de potencia. Por otro lado, un ciclo de trabajo más bajo reduce la potencia de salida.
![]()
![]()
![]()
![]()
![]()
![]()
![]()
![]()
![]()
![]()
![]()
![]()
![]()


![]()
![]()
![]()
![]()
![]()
![]()
![]()
![]()
![]()
![]()
![]()
![]()
![]()
![]()
![]()
![]()
![]()
![]()
![]()
![]()
![]()
![]()
![]()
![]()
![]()
![]()
![]()
![]()
![]()
![]()
![]()
![]()
![]()
![]()
![]()
![]()
![]()
![]()
![]()
![]()
![]()
![]()
![]()
![]()
![]()
![]()
![]()
![]()
![]()
![]()
![]()
![]()
![]()
![]()
![]()
![]()
![]()
![]()
![]()
![]()
![]()
![]()
![]()
![]()
![]()
![]()
![]()
![]()
![]()
![]()
![]()
![]()
![]()
![]()
![]()
![]()
![]()
![]()
![]()
![]()
![]()
![]()
![]()
![]()
![]()
![]()
![]()
![]()
![]()
![]()
![]()
![]()
![]()


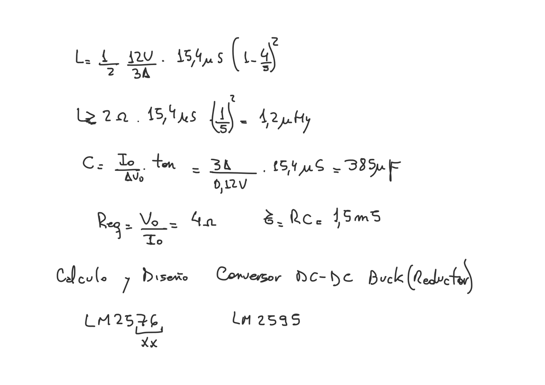
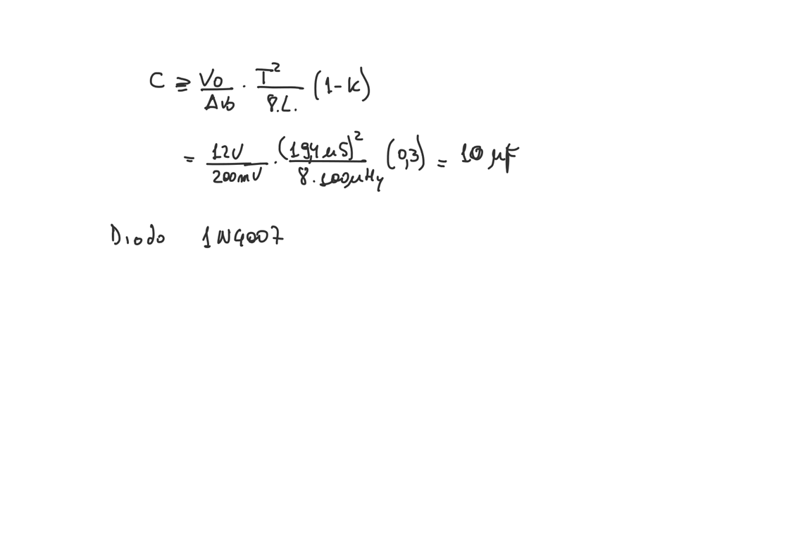
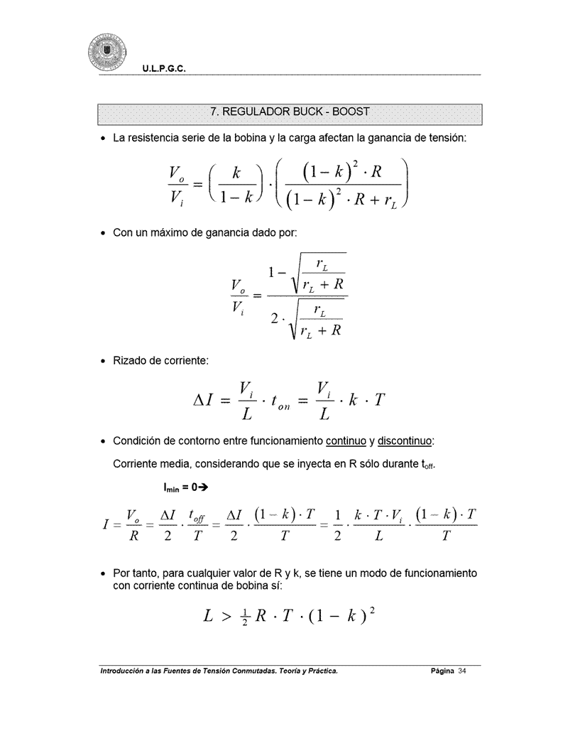
Tiene un diodo para dar la tension maxima, un inductor para ripple de corriente y un capacitor para suavizar ripple de tension.



Resumen
Thursday, April 18, 2024
3:48 PM
